capital tax & accounting services ltd
The licence issue date is November 7 2018. Accounting Accounting Services Business Services View Capital Tax Accounting.
 		 		
 		
 	Home Premier Tax Consulting Inc 	
Read reviews of Capital tax accounting services ltd.
 					. Your experience will help others make the right buying decision. Get Capital Tax Accounting Services Ltd. Capital expenditures are to be treated in the subject lease.
Companys verified contact number 1278 web address revenue total contact 1 industry Financial Services and location at Adaptio. Expat Tax Filing Japan Taxation Capital Tax Ltd. Sample Lease Clause Operating.
Welcome Modern Accounting Services Inc. - Trusted Tax Specialist. As a leading Los Angeles CPA firm we specialize in a full range of business.
Capital Tax Accounting Services Ltd. Capital tax accounting services ltd. Capital Tax Accounting Services Ltd is licensed by City of Vancouver Community Services Group - Licence Office.
700 Million Employees. The registered agent on file for this company is a registered agent inc. Capital Tax International Tax Services - Resident Non-Resident Specialist Canadian Non-Resident Tax US.
Our services include but are not limited to. I have finally found a place that is friendly helpful and. Capital Tax Accounting Services Ltd License 18-444738 is a business licensed by the Business Licence Office of Vancouver.
At Capital Tax Accounting Inc we specialize in financial services for start-ups small businesses sole proprietors and individuals. Typically such resulting negotiated clauses would contain something along the lines of. And is located at 1521 concord pike 303 wilmington de.
It takes an experienced accountant who understands the ins and outs of business finances and the tax advantages and disadvantages that go along with them. The business address is 422. The licence number is 19-155237.
Write and share your personal story. Offers a variety of services to fit the individual needs of every client from simple Accounting to comprehensive Accounting such as online. Lalea Black is a professional team of MBA-holding CPAs that offers a variety of accounting and business services.
3 reviews of Capital City Accounting and Tax Services As a small business owner I often have a million questions about my tax situation.
 		 		
 		
 	Accountants In Borehamwood Capital Tax Accountants Ltd 	
 		 		
 		
 	Capital Tax Accounting Services For Businesses Individuals 	
 		 		
 		
 	Accounting Firms Top 10 Accounting Firms Across The Globe 	
 		 		
 		
 	Capital Tax International Tax Services Resident Non Resident Specialist 	
 		 		 		
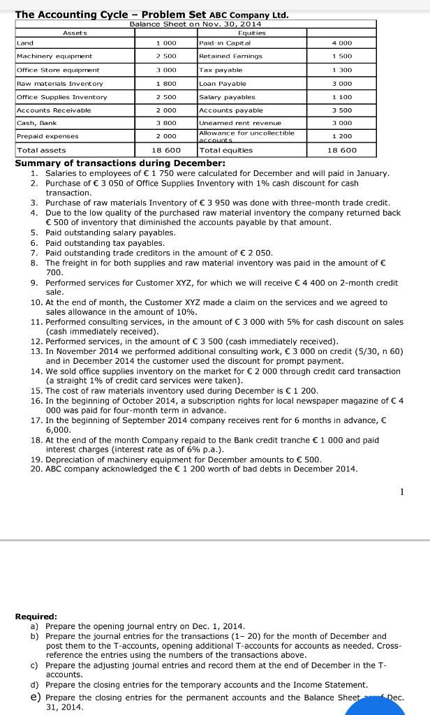
 	Solved 1 800 Loan Payable 1 100 The Accounting Cycle Chegg Com 	
 		 		
 		
 	Accounting Services Cockettt Co Ltd 	
 		 		
 		
 	The Accountancy And Tax Service For Small Businesses Taxassist Accountants 	
 		 		
 		
 	Capital Tax Accounting Services Ltd Captaxcanada Profile Pinterest 	
 		 		
 		
 	Us Expat Tax Wordpress Design And Development 	
 		 		
 		
 	Andersen Independent Tax Valuation Financial Advisory And Consulting Services For Individual And Commercial Clients Andersen 	
 		 		
 		
 	Tax Accounting Advice Pty Ltd Accountants Brisbane Qld 	
 		 		
 		
 	Capital Gains Tax Tax Accountant Specialist Tax Consultancy 	
 		 		 		
 	Capital Tax Ltd International Tax Services Facebook 	
 		 		
 		
 	347 Catchy Accounting Company Name Ideas Soocial 	
 		 		
 		
 	Pdf Effect Of Economic Factors On Tax Compliance In Kenya A Survey Of Limited Liability Companies Within Eldoret Municipality 	

:max_bytes(150000):strip_icc()/capital_gains_tax.asp-Final-60dadf431693474ba6e99cd1f32440cd.png)
